Back To List

Back To List

3 min read - Published on 27 Mar 2020

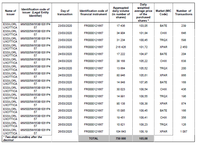
Disclosure of transactions in own shares